Sammenligning av lineære funksjoner
Aktiviteten
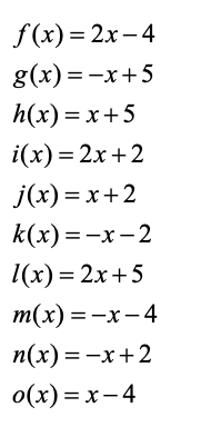
Digitale hjelpemidler gjør det mulig å starte med temaet «Funksjoner» på en utforskende måte. Opplegget starter med at elevene skriver inn ti funksjoner i GeoGebra. Elevene skal så finne sammenhenger mellom funksjonene ved å studere innholdet i Grafikkfeltet og i Algebrafeltet. GeoGebra gjør det enkelt å sammenligne mange funksjoner i løpet av kort tid, noe som gjør det lettere for elevene å observere og analysere funksjonene.
Anbefalte andre opplegg
Rette linjer – et spill for to (Ungdomstrinn/VGS)
Aktivitet 1
Elevene får utdelt hvert sitt elevark. Det er en fordel om kopien er tosidig. De skriver inn alle funksjonene i Skrivefeltet og gir hver funksjon ulik farge. Deretter gjør de alle funksjonene usynlige ved å trykke på sirkelen foran funksjonsnavnet i Algebrafeltet.

Kommentar til læreren
Elevene trenger ingen forkunnskaper i GeoGebra for å gjennomføre dette opplegget, men det kan være lurt om læreren viser hvordan de endrer farge på objekter og gjør objektene synlig eller usynlig dersom de aldri har brukt GeoGebra før.
En funksjon er to variabler som endrer seg i takt, og derfor er det viktig at elevene blir vant til å skrive funksjonene med navn, likhetstegn og funksjonsuttrykk. Hvis elever skriver y= eller bare den høyre delen av utrykket, vil GeoGebra automatisk gi funksjonen et navn. Det kan bety at samme funksjon får ulikt navn hos ulike elever, noe som gjør det vanskeligere når elevene skal bruke funksjonsnavnene i Aktivitet 2.
Aktivitet 2
I denne aktiviteten skal elevene sammenligne bestemte funksjoner for å finne felles egenskaper. Elevene gjør de aktuelle funksjonene synlig, og så sammenligner de grafene og funksjonsuttrykkene. De noterer observasjonene sine i tabellen.
Etter at alle elevene har svart på minst fire oppgaver, starter læreren en klassesamtale som legger vekt på sammenhengen mellom graf og funksjonsuttrykk. Det kan være lurt å skrive ned observasjonene til elevene på tavla. Uavhengig av om læreren bruker opplegget som innføring i lineære funksjoner eller som repetisjonsopplegg, må begrepene «stigningstall» og «konstantledd» være en del av oppsummeringen.
Kommentar til læreren
Ved bare å vise enkelte av funksjonene i Grafikkfeltet samtidig, kan elevene lettere fokusere på å finne felles egenskaper. For eksempel at funksjonene er parallelle eller at funksjonene krysser y-aksen i samme punkt. Ved å se på representasjonene graf og funksjonsuttrykk, vil elevene komme fram til at «tallet foran x» (stigningstallet) og «tallet som står alene» (konstantleddet) har betydning for hvordan funksjonen ser ut.
Mulige elevsvar i tabellen:
- Linjene er parallelle.
- Alle funksjonene starter med 2x.
- Linjene er parallelle og går nedover.
- Grafene er parallelle og går oppover.
- Alle grafer krysser hverandre på samme sted på y-aksen.
- Alle grafer har samme skjæringspunkt på y-aksen.
- Det siste tallet er lik.
Det er viktig at klassesamtalen tar utgangspunkt i elevenes observasjoner. Læreren må være oppmerksom på at mange elever ikke ser at det er tallet foran x og ikke «2x» som avgjør hvordan grafen ser ut. For noen elever kan det også være uklart hva som menes med nedover og oppover. Målet med klassesamtalen er at alle elever får en god forståelse av sammenhengen mellom funksjonsuttrykk og graf. De skal vite at tallet foran x er stigningstallet som bestemmer hvor bratt og i hvilken retning grafen går og at konstantleddet viser hvor grafen skjærer y-aksen.
De tomme rutene kan brukes til å differensiere. Her kan læreren gi elever som blir fort ferdig oppgaver som gir dem passende utfordringer. For eksempel:
- Velg i(x) i GeoGebra og finn to nye funksjoner som er parallelle til i(x).
- Tegn tre funksjoner som krysser hverandre på den negative delen av y-aksen.
- Tegn tre funksjoner som går gjennom origo.
Aktivitet 3
Denne aktiviteten gjennomfører elevene og læreren i felles klasse. Alle skriver funksjonen s(x) = ax + b inn i Skrivefeltet og svarer bekreftende på å lage glidere. Vis Navn og verdi på gliderne dersom GeoGebra ikke gjør det automatisk. Skyv gliderne slik at de har en positiv verdi a ≠ 1 og b ≠ 1.
Nå kan læreren spille spørsmål til elevene.
Hva må jeg gjøre for at
- grafen blir brattere?
- grafen går nedover?
- grafen krysser y-aksen ved 4?
- grafen krysser y-aksen på den negative siden?
- grafen går gjennom nullpunktet?
- grafen krysser y-aksen ved 2,5 og går bratt oppover?
- grafen blir vannrett?
- …..
Kommentar til læreren
Aktiviteten viser om elevene har forstått begrepene «stigningstall» og «konstantledd». Legg spesielt vekt på funksjoner som går gjennom origo og funksjoner med stigningstall 0. Slike funksjoner bryter mønsteret til det vanlige uttrykket for lineære funksjoner, og det er ikke alle elever som er klar over at uttrykk som f(x) = 3 og g(x) = 4x er spesialtilfeller av lineære funksjoner.
I neste time kan elevene teste sin forståelse av lineære funksjoner med opplegget Finn funksjonsuttrykket 1 og 2.
GeoGebra-hjelp
Synlige og usynlige objekter
Blå sirkler viser at objektet (her: funksjonen) er synlig og gjennomsiktige sirkler viser at objektet er usynlig.
Endre egenskapene til et objekt
Trykk på objektet som du vil endre egenskapene til.
Velg farge (her: Rød), tykkelse og tekststil (her: Navn og verdi).
Flytt funksjonsuttrykket fra Algebrafeltet til Grafikkfeltet med «dra og slipp».
Skriv inn f(x)= a*x+b med verktøyet Tekst.
Lag glidere
Skriv inn f(x)=a*x+b i Skrivefeltet. Svar «Lag glidere» for a og b.
Endre egenskapene til gliderne ved å høyreklikke og velge «Egenskaper».
Hensikt
Gi elevene dypere forståelse av begrepene lineær funksjon, stigningstall og konstantledd ved hjelp av GeoGebra.
Emne
Funksjoner, lineære funksjoner, stigningstall, konstantledd, GeoGebra.
Rammeplanmål/Kompetansemål
- Grunnskole
- Kompetansemål etter 10. trinn
- utforske og samanlikne eigenskapar ved ulike funksjonar ved å bruke digitale verktøy
- rekne ut stigingstalet til ein lineær funksjon og bruke det til å forklare omgrepa endring per eining og gjennomsnittsfart
- Videregående
- Vg1P
- bruke digitale verktøy i utforsking og problemløysing knytt til eigenskapar ved funksjonar, og diskutere løysingane
- identifisere variable storleikar i ulike situasjonar og bruke dei til utforsking og generalisering
- tolke og bruke funksjonar i matematisk modellering og problemløysing
- Vg1T
- formulere og løyse problem ved hjelp av algoritmisk tenking, ulike problemløysingsstrategiar, digitale verktøy og programmering
- identifisere variable storleikar i ulike situasjonar, setje opp formlar og utforske desse ved hjelp av digitale verktøy
- Vg2P
- utforske strategiar for å løyse likningar, likningssystem og ulikskapar og argumentere for tenkjemåtane sine